国产自拍

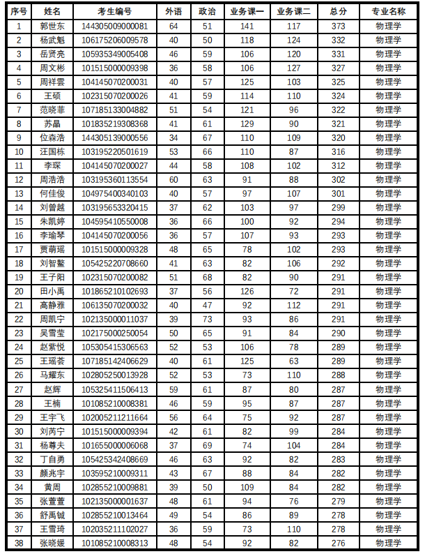
国产自拍 2025年国产自拍 物理学调剂复试名单

信息来源:   点击次数:  发布时间:2025-04-08

根据《国产自拍 2025年硕士研究生招生复试录取工作实施细则》中物理学调剂的基本要求,及复试比例1:1.8的差额,按照初试总分由高到低的原则,复试面试名单如下: